• 欢迎访问河北省专接本网!本站为【传爱专升本】旗下门户网站,为广大考生提供免费专升本政策与资讯,具体专升本考试信息以河北省教育考院http://www.hebeea.edu.cn/ 为准。
  • 登录 | 注册
    服务时间
    9:00-24:00
    报考解答
    还在为报考流程
    报名条件发愁?
    微信扫码添加
    发送【地区】+【年级】+【专业】

    (传爱咨考专升本老师为你解答)

    学习交流
    扫码加入考生交流群
    真题福利
    扫码回复【真题资料】,即可获取免费资料包~
    在线做题
    扫码即可开始刷题
    商务合作
    联系我们
    18370980675
    客服

    关注公众号免费领真题

    随时获取升本资讯
    随时获取升本资讯
    关闭
    河北专接本 >专升本试题题库 > 高等数学 > 河北省专升本高等数学知识点(五)

    河北省专升本高等数学知识点(五)

    2020-08-10 17:26:02    来源:河北专接本    点击: 考生交流群+加入
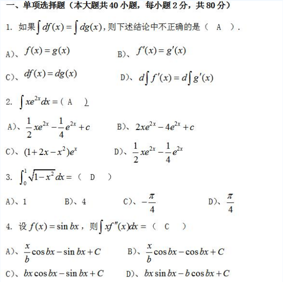
    2020年河北转接-高等数学30
    河北专接本声明

    (一)由于考试政策等各方面情况的不断调整与变化,本网站所提供的考试信息仅供参考,请以权威部门公布的正式信息为准。

    (二)本网站在文章内容来源出处标注为其他平台的稿件均为转载稿,免费转载出于非商业性学习目的,版权归原作者所有。如您对内容、版权等问题存在异议请于我们联系,我们会及时处理。


    文章来源于网络,如有侵权,请联系删除

    本文地址:http://www.hbgsb.com/show-1369-1461-1.html

    2024年河北专接本便捷服务

    · 温馨提示:由于专接本考试机会一年
    仅此一次,建议广大在校生提前备考。

    考生交流群

    微信公众号

    河北专接本微信交流群

    扫一扫加入微信交流群

    与考生自由互动、并且能直接与资深老师进行交流、解答。
    河北专接本微信公众号

    扫一扫关注微信公众号

    随时获取专接本政策、资讯、以及各类学习资料、试题题库、咨询解答。